空間組織,探索和敘事
(相關性研究)


什麼樣的敘事使遊客實現他們的移動和做到兩個樓層之間的差異會如何影響他們的探索和參觀的社會角色?為了回答這些問題,我們隨機抽取50人次每層並跟踪他們的路線20分鐘。雖然沒有規定的方式來訪問該畫廊,大多數遊客通過北入口(70%)看到進入集合中的歷史順序

•這些研究結果表明:
•第一,大多數人遵循最長可能序列上的兩個樓層。
•第二,每個樓層上所花費的時間,對應到房間的數量與其變化性,以及路徑序列表明,遊客比起在四樓對五樓更多的探索。
•
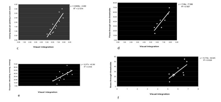
第三,可理解措施和兩個佈局的空間特性負責這些行為上的差異。抓住五樓優於他們明白四樓這對他們的水平產生影響選擇和探索。這是通過一個顯著相關確認在累
計值之間的五樓每個房間的跨越門限觀察到的流率(R 2 =0.78),和一個更小相同的屬性上的第四層顯著的相關性(R2 =0.38)。

•如果路徑顯示,遊客都沒有任何優先考慮巴爾的系譜中的敘事順序而言,畫作吸引了最高收視率能幫忙看看他們是否優先的任何兩個流在敘述消息的條
款。同除了畢加索的“萊斯Demoiselles
D'阿維尼翁'(畫廊2)和“莫奈的水蓮的池塘”(畫廊10),該作品吸引站的最高的數字主要是位於沿主序列。因此,對於大多數遊客策展的消息,主要是通
過巴爾的“直覺”線傳輸。很強的相關性視覺整合和遊客的平均數量之間停下來查看這層樓的每間客房每幅畫(R2=0.72)確認該流從表現降序起著在傳達教
學信息重要作用。在第四樓層最吸引止點率最高的畫作同樣位於主序,除三畫在畫廊23描述“波普藝術”的。然而,在這層樓不存在顯著相關性對這種整合和觀看
率之間。