研究策略:
定性研究 + 相關性研究
操作步驟:
調查統計台北市居民在房屋整建時,考量的因子與比例有哪些,可得知消費者所認知的優良整建廠商為何(作為DEA input & output項目,與權重的考值)。
建立案件資料庫,以過去成交案例作為效率值為1。(可從DEA運算過後,得知若現行方案效率值<1,可改進的方向幅度有多少ex: 整建價格可以再低)
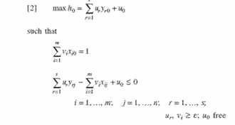
應用資料包落分析法(DEA) BCC模式評選整建廠商。

建立線上網路平台,讓資訊透明化,將本研究案的DEA model置入,消費者先設定搜尋符合坪數後(ex:20~30坪),再輸入消費者權重值,篩選出合適廠商。